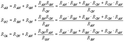
Kennelly's Star-Delta Transformation
Circuit analysis Tutorial
AKNM Circuit Magic- circuit analysis software

Kennelly's Star-Delta Transformation

 

Kennelly's Delta - Star Transformation

© 2003, AKNM inc.
Comments, suggestions mail to:
webmaster@circuit-magic.com